SCIENCE

Die Berechnung einer Bassfalle

Bei zu schwacher Bedämpfung des Hörraums kann durch das Aufstellen einer Bassfalle in den Raumecken ein oft sehr lästiges Dröhnen im Bassbereich deutlich verringert werden. Eine Bassfalle ist ein leicht bedämpftes Gehäuse, in das ein oder mehrere Bassreflexrohre eintauchen. Die Länge der Rohre kann man mit der untenstehenden Formel leicht ausrechnen.

Doch zuerst müssen Sie die Frequenz f bestimmen, bei der Ihr Raum resoniert. Dazu benötigen Sie eine CD mit Sinustönen. Spielen Sie die CD ab und setzen Sie sich an Ihren Hörplatz. Notieren Sie dann Track bzw. Frequenz bei der Ihr Raum am stärksten dröhnt.

Wählen Sie nun das Volumen Ihrer Bassfalle. Es gilt: je größer die Bassfalle, desto höher der Wirkungsgrad. Ermitteln Sie aus der untenstehenden Formel die Länge und Anzahl der Rohre. Am besten hierfür eignen sich Abflussrohre aus dem Baumarkt. Die Länge der Rohre sollte auf jeden Fall größer als 10 cm sein.

Ein derart abgestimmtes Gehäuse resoniert ähnlich einer Bassreflexbox bei der Abstimmfrequenz und entzieht dem Raum Dröhnenergie. Eine leichte Füllung mit Dämmwatte wandelt diese Energie in Wärme um.

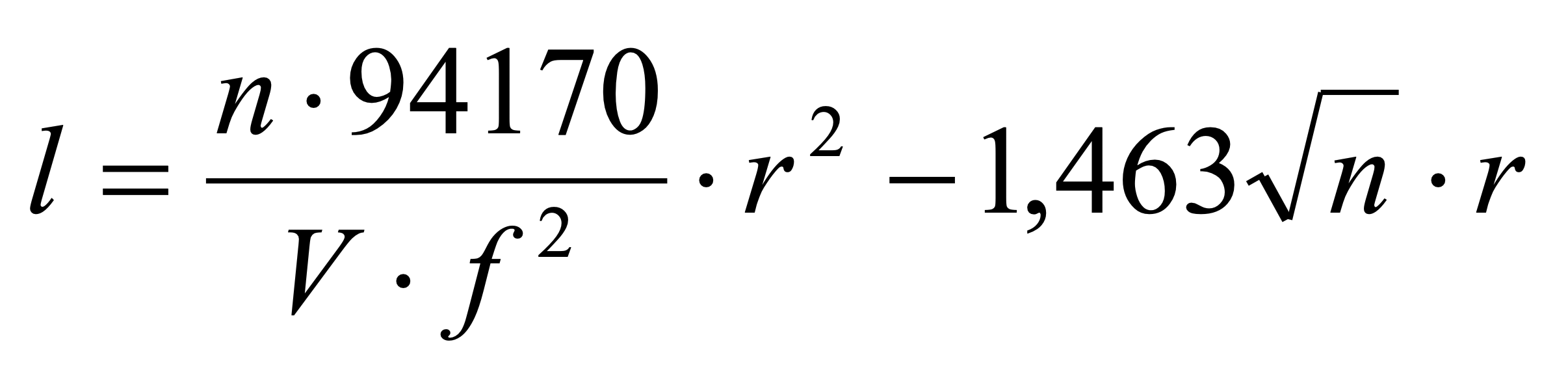
1: Rohrlänge
n: Anzahl der Rohre
r: Radius des Rohrs in cm
V: Nettobassfallenvolumen in Liter
f: Dröhnfrequenz in Hz

Bestimmen Sie also die Dröhnfrequenz f, machen Sie das Volumen V so groß wie möglich und versuchen Sie möglichst viele Rohre n in das Volumen eintauchen zu lassen.

Weitere Themen der Science-Reihe

Raumakustik

Raum-resonanzen

Bassfalle

Bass Extension System

Wirkungsgrad

Hochpass-Filterung