SCIENCE

Die Berechnung von Raumresonanzen

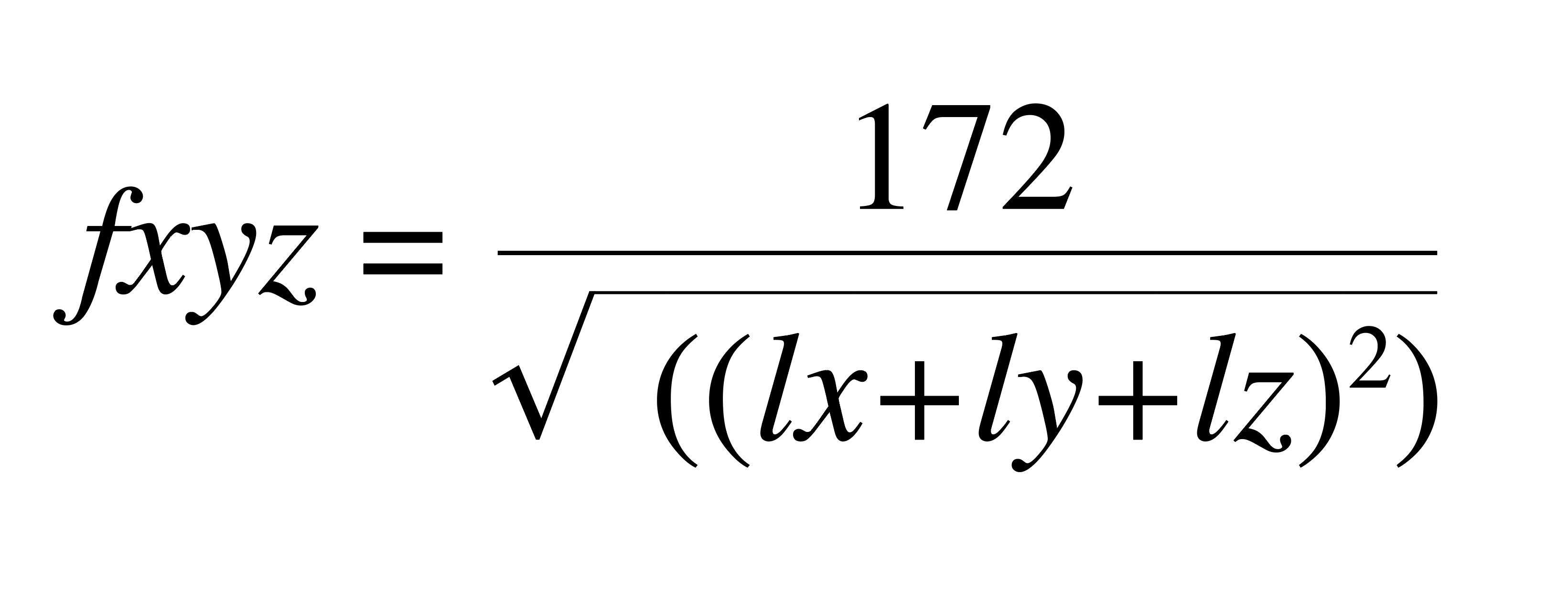
Ist der Raum quaderförmig, lassen sich die Raumeigenresonanzen fxyz mit der Rayleigh-Formel berechnen:

x, y und z sind ganze Zahlen und durchlaufen die Werte 0,1,2,3...
lx, ly und lz sind die Dimensionen des Raums in Meter.

Setzen Sie für die Zahlen x,y,z immer fortlaufend die Werte 0, 1, 2, 3 ein und Sie erhalten die Frequenzen der Raumresonanzen in Hertz. Zudem zeigen diese Zahlen die Richtung der Stehwelle an: 1-0-0 ist z.B. die Resonanz in Längsrichtung, 1-1-1 ist die Resonanz in Richtung der Raumdiagonalen.

An den Raumbegrenzungen ist der Schalldruck maximal, die Luftgeschwindigkeit hingegen minimal. Bei der 1-0-0-Mode haben wir somit folgende Verteilung: in Raummitte ist der Schalldruck am geringsten, die Luftgeschwindigkeit aber maximal, so daß das Ohr dort zwar eine Bassschwäche konstatiert, die Dämpfung dieser Stehwelle aber dort am besten möglich ist. Dazu sind sogenannte poröse Absorber am besten geeignet: Polstermöbel, Decken, Tischdecken, Bilder ohne Glas, Pflanzen, Teppiche, Kissen oder Bücher, also alle Materialien, die Poren besitzen. Sie lassen die Luft eindringen und dämpfen die Welle durch Reibungsverluste im Inneren. Diese Methode funktioniert allerdings nur für höhere Frequenzen im Mitteltonbereich. Bei tiefen Frequenzen hilft lediglich eine Bassfalle, deren Aufstellungsort im Raum aber ebenfalls die entdröhnende Wirkung bestimmt. Diese Position finden Sie durch ausprobieren.

Wie finde ich aber nun die störende Dröhnfrequenz ohne Sinusgenerator, nachdem ich alle Resonanzfrequenzen bis zur 3. Ordnung berechnet habe? Hier hilft ein Resonanzmodendiagramm: Unterteilen Sie das gesamte Frequenzband in logarithmisch gleichmäßige Abstände zum Beispiel Terzen: 32, 40, 50, 64, 80, 100, 128 und so weiter. Pro Terz werden nun die Anzahl der Resonanzen eingetragen, dabei gilt, daß die Zahl quadratisch zunehmen muß. Sind in einem Bereich zu viele Resonanzen enthalten besteht Dröhngefahr nur, wenn diese ganz eng beisammen sind. Schlimmer wird es, wenn in einem Intervall zu wenige vorhanden sind, dann können einzelne stärkere Auswirkung haben. Ein sicheres Indiz ist, wenn in einem Intervall zuwenig Resonanzen auftreten, aber zwei oder gar drei dieselbe Frequenz haben. Dann dröhnt es. Erfahrungswerte der letzten Jahre zeigen, daß ein Raumdröhnen oft zwischen 60 Hz und 80 Hz auftritt.

Noch einfacher finden Sie die Dröhnfrequenz, wenn Sie unsere Gauder Akustik-CD verwenden.

Weitere Themen der Science-Reihe

Raumakustik

Raum-resonanzen

Bassfalle

Bass Extension System

Wirkungsgrad

Hochpass-Filterung